​365英国上市公司工业工程与管理专业硕士研究生王东在《Computers & Industrial Engineering》期刊发表学术论文
来源:365英国上市公司
2025-07-03
作者:
点击量:

近日,​365英国上市公司2023级硕士研究生王东在智能质量控制研究方向取得新进展,完成的论文“Nonparametric monitoring of high-dimensional processes via EWMA control charts based on random forest learning(基于随机森林学习的EWMA控制图对高维过程的非参数监测)”,于2025年4月11日在线发表在工业工程领域国际著名学术期刊《Computers & Industrial Engineering》(影响因子:6.7,中科院二区Top,DOI :10.1016/j.cie.2025.111111)。论文指导教师为吴苍副教授。


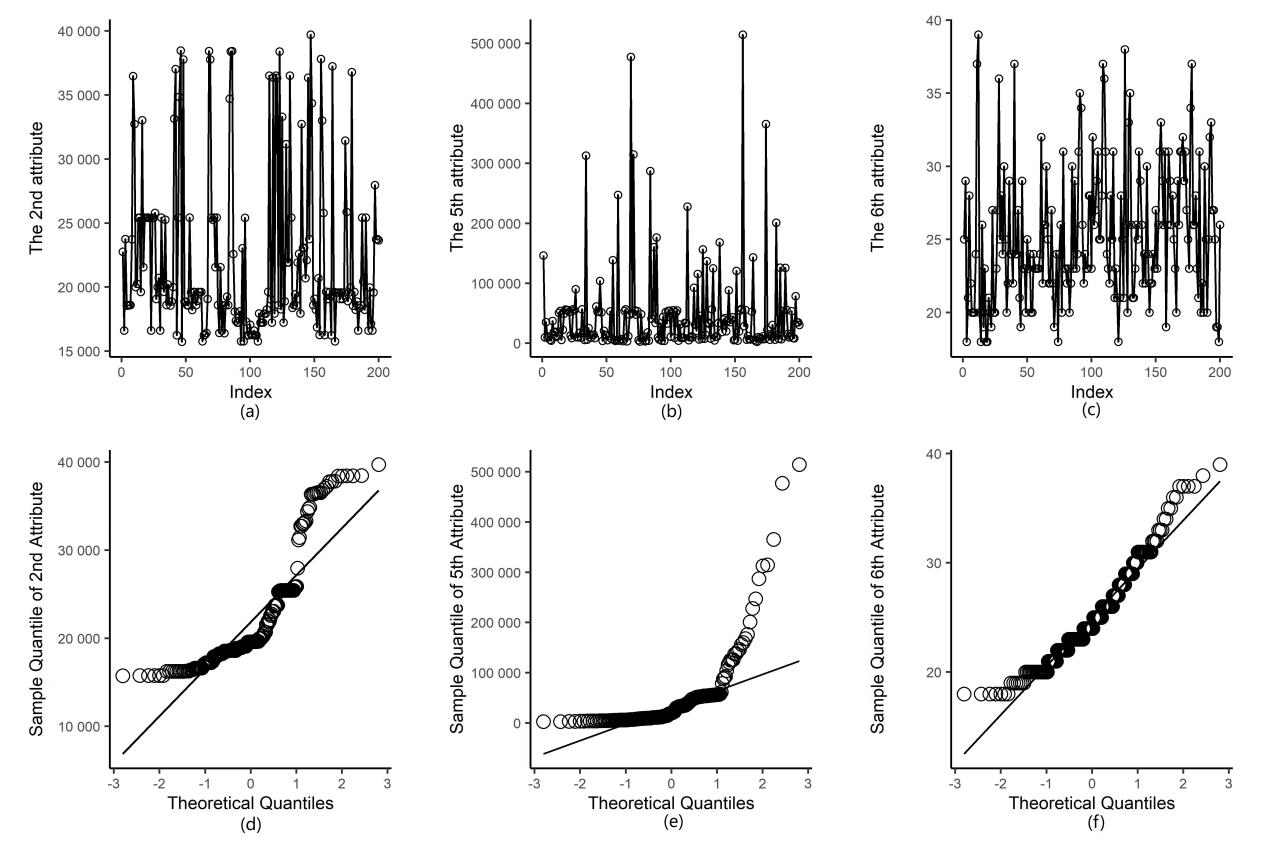
多传感器系统在制造过程中已被广泛用于感知环境或运行条件以及质量信息,从而收集大量高维质量数据。高维数据监测领域中大多数传统的多元控制图因其高维度特性及变量先验分布的未知性而不再适用。针对这一突出问题,提出了一种基于机器学习算法的多元非参数控制图监测方法。该方法创新性地将随机森林模型和对数似然法组合形成新的降维方法,并采用指数加权移动平均控制图达实现高维质量数据的高效监测。仿真结果表明,该方法在多种数据分布和不同维度下均取得了优异的监测效果,在多个失控簇、复杂性分析等方面也表现出了显著优势。

本研究为高维复杂质量数据的异常监测提供了新思路,展现了机器学习模型与统计学方法融合在智能质量控制领域的良好应用前景。

撰稿:郑玉巧; 审核:侯运丰